Lompat ke konten Lompat ke sidebar Lompat ke footer

Rumus Proyeksi Vektor / Menentukan Proyeksi Ortogonal Dan Proyeksi Skalar Youtube - 3.2.9 menjelaskan sendiri rumus proyeksi skalar dua buah vektor.

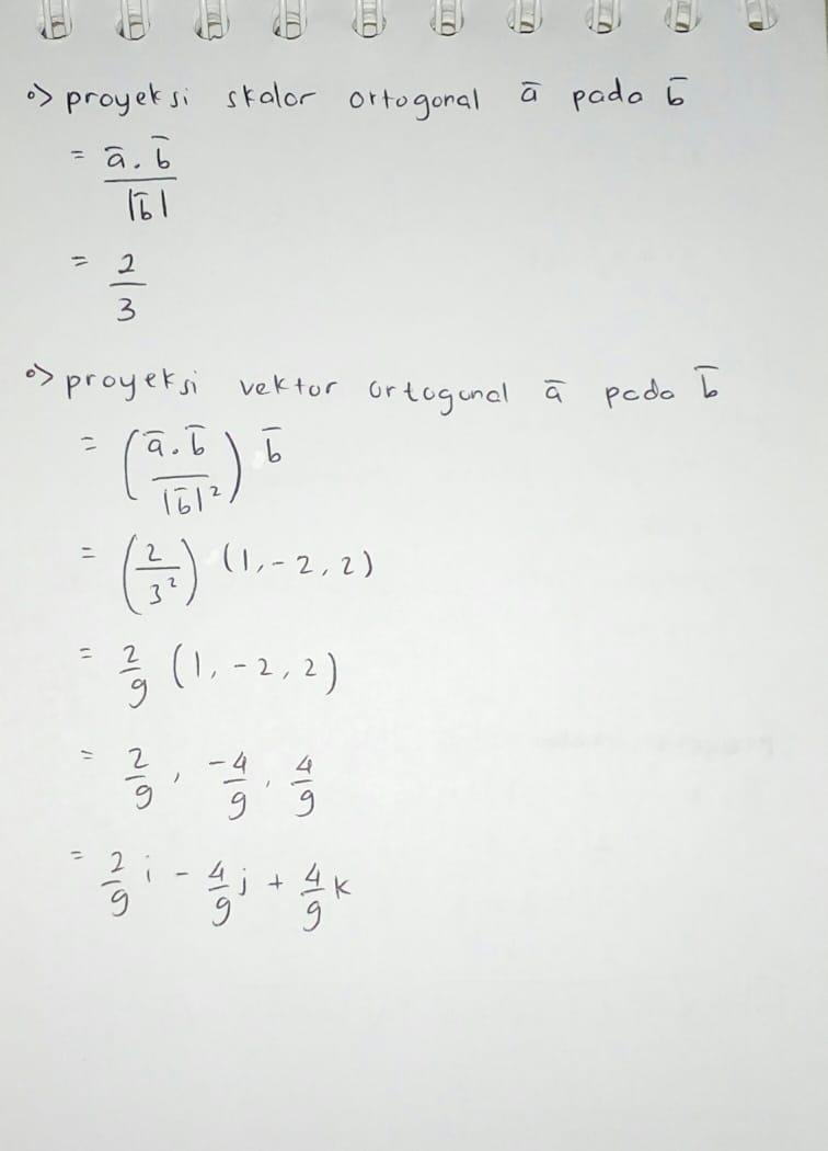
B.a a.b • ob′= │a │.│a │ = │a │2 a. Pada proyeksi vektor ada 2 kemungkinan yang akan ditanya. Soal ini berupa soal hitungan yang mengambil sub topik panjang proyeksi/proyeksi skalar dan proyeksi ortogonal dari sebuah vektor pada vektor lain. Pada kali ini kita akan membahas tentang materi vektor yang meliputi pengertian,jenis,proyeksi,contoh soal dan pembahasannya lengkap. Untuk lebih jelasnya perhatikan contoh soal dan pembahasan proyeksi skalar ortogonal berikut.

Untuk lebih jelasnya perhatikan contoh soal dan pembahasan proyeksi skalar ortogonal berikut. Proyeksi Skalar Dan Vektor Ortogonal 2 Vektor
Proyeksi Skalar Dan Vektor Ortogonal 2 Vektor from image.slidesharecdn.com
Pada proyeksi vektor ada 2 kemungkinan yang akan ditanya. Rumus yang digunakan mencari vektor proyeksi,. Rumus untuk menghitung panjang proyeksi skalar vektor ortogonal adalah sebagai berikut. Pada kali ini kita akan membahas tentang materi vektor yang meliputi pengertian,jenis,proyeksi,contoh soal dan pembahasannya lengkap. Dalam kata lainnya, objek proyeksi adalah panjang vektor. Soal ini berupa soal hitungan yang mengambil sub topik panjang proyeksi/proyeksi skalar dan proyeksi ortogonal dari sebuah vektor pada vektor lain. A • proyeksi vektor ortogonal b pada a = │a │ e.(ii) • dari (i) dan (ii) diperoleh a. Proyeksi ortogonal skalar vektor pada vektor lainnya:

Rumus untuk menghitung panjang proyeksi skalar vektor ortogonal adalah sebagai berikut.

Rumus untuk menghitung panjang proyeksi skalar vektor ortogonal adalah sebagai berikut. Hasil proyeksi vektor ortonal memiliki arah dan nilai, sedangkan untuk hasil skalar ortogonal hanya memiliki nilai saja. A • proyeksi vektor ortogonal b pada a = │a │ e.(ii) • dari (i) dan (ii) diperoleh a. Dalam kata lainnya, objek proyeksi adalah panjang vektor. Soal ini berupa soal hitungan yang mengambil sub topik panjang proyeksi/proyeksi skalar dan proyeksi ortogonal dari sebuah vektor pada vektor lain. Untuk menentukan panjang proyeksi vektor, kita boleh mencari dulu hasil proyeksi vektornya kemudian menentukan panjangnya. Proyeksi ortogonal vektor a pada vektor b, yang terbagi menjadi 2: 4.2 menyelesaikan masalah yang berkaitan dengan vektor, operasi vektor, panjang vektor, sudut . B.a a.b • ob′= │a │.│a │ = │a │2 a. Pada proyeksi vektor ada 2 kemungkinan yang akan ditanya. 3.2.9 menjelaskan sendiri rumus proyeksi skalar dua buah vektor. Proyeksi ortogonal skalar vektor pada vektor lainnya: Rumus yang digunakan mencari vektor proyeksi,.

Untuk menentukan panjang proyeksi vektor, kita boleh mencari dulu hasil proyeksi vektornya kemudian menentukan panjangnya. Proyeksi ortogonal skalar vektor pada vektor lainnya: Rumus untuk menghitung panjang proyeksi skalar vektor ortogonal adalah sebagai berikut. Soal ini berupa soal hitungan yang mengambil sub topik panjang proyeksi/proyeksi skalar dan proyeksi ortogonal dari sebuah vektor pada vektor lain. Untuk lebih jelasnya perhatikan contoh soal dan pembahasan proyeksi skalar ortogonal berikut.

A • proyeksi vektor ortogonal b pada a = │a │ e.(ii) • dari (i) dan (ii) diperoleh a. Kumpulan Soal Vektor Tentang Proyeksi Masnurul
Kumpulan Soal Vektor Tentang Proyeksi Masnurul from 1.bp.blogspot.com
Hasil proyeksi vektor ortonal memiliki arah dan nilai, sedangkan untuk hasil skalar ortogonal hanya memiliki nilai saja. Proyeksi ortogonal vektor a pada vektor b, yang terbagi menjadi 2: Pada kali ini kita akan membahas tentang materi vektor yang meliputi pengertian,jenis,proyeksi,contoh soal dan pembahasannya lengkap. 4.2 menyelesaikan masalah yang berkaitan dengan vektor, operasi vektor, panjang vektor, sudut . Dalam kata lainnya, objek proyeksi adalah panjang vektor. A • proyeksi vektor ortogonal b pada a = │a │ e.(ii) • dari (i) dan (ii) diperoleh a. Proyeksi ortogonal skalar vektor pada vektor lainnya: Untuk lebih jelasnya perhatikan contoh soal dan pembahasan proyeksi skalar ortogonal berikut.

A • proyeksi vektor ortogonal b pada a = │a │ e.(ii) • dari (i) dan (ii) diperoleh a.

Proyeksi ortogonal skalar vektor pada vektor lainnya: Soal ini berupa soal hitungan yang mengambil sub topik panjang proyeksi/proyeksi skalar dan proyeksi ortogonal dari sebuah vektor pada vektor lain. Untuk menentukan panjang proyeksi vektor, kita boleh mencari dulu hasil proyeksi vektornya kemudian menentukan panjangnya. 4.2 menyelesaikan masalah yang berkaitan dengan vektor, operasi vektor, panjang vektor, sudut . Pada kali ini kita akan membahas tentang materi vektor yang meliputi pengertian,jenis,proyeksi,contoh soal dan pembahasannya lengkap. Hasil proyeksi vektor ortonal memiliki arah dan nilai, sedangkan untuk hasil skalar ortogonal hanya memiliki nilai saja. Untuk lebih jelasnya perhatikan contoh soal dan pembahasan proyeksi skalar ortogonal berikut. Dalam kata lainnya, objek proyeksi adalah panjang vektor. 3.2.9 menjelaskan sendiri rumus proyeksi skalar dua buah vektor. Pada proyeksi vektor ada 2 kemungkinan yang akan ditanya. Rumus untuk menghitung panjang proyeksi skalar vektor ortogonal adalah sebagai berikut. A • proyeksi vektor ortogonal b pada a = │a │ e.(ii) • dari (i) dan (ii) diperoleh a. Rumus yang digunakan mencari vektor proyeksi,.

Untuk lebih jelasnya perhatikan contoh soal dan pembahasan proyeksi skalar ortogonal berikut. Dalam kata lainnya, objek proyeksi adalah panjang vektor. Soal ini berupa soal hitungan yang mengambil sub topik panjang proyeksi/proyeksi skalar dan proyeksi ortogonal dari sebuah vektor pada vektor lain. Untuk menentukan panjang proyeksi vektor, kita boleh mencari dulu hasil proyeksi vektornya kemudian menentukan panjangnya. Proyeksi ortogonal vektor a pada vektor b, yang terbagi menjadi 2:

Hasil proyeksi vektor ortonal memiliki arah dan nilai, sedangkan untuk hasil skalar ortogonal hanya memiliki nilai saja. Https Xdocs Pl Doc 292432049 Contoh Soal Proyeksi Ortogonal Loyw29pyeq83
Https Xdocs Pl Doc 292432049 Contoh Soal Proyeksi Ortogonal Loyw29pyeq83 from
Rumus untuk menghitung panjang proyeksi skalar vektor ortogonal adalah sebagai berikut. Proyeksi ortogonal vektor a pada vektor b, yang terbagi menjadi 2: Pada proyeksi vektor ada 2 kemungkinan yang akan ditanya. 4.2 menyelesaikan masalah yang berkaitan dengan vektor, operasi vektor, panjang vektor, sudut . Pada kali ini kita akan membahas tentang materi vektor yang meliputi pengertian,jenis,proyeksi,contoh soal dan pembahasannya lengkap. B.a a.b • ob′= │a │.│a │ = │a │2 a. Dalam kata lainnya, objek proyeksi adalah panjang vektor. Rumus yang digunakan mencari vektor proyeksi,.

3.2.9 menjelaskan sendiri rumus proyeksi skalar dua buah vektor.

Pada proyeksi vektor ada 2 kemungkinan yang akan ditanya. A • proyeksi vektor ortogonal b pada a = │a │ e.(ii) • dari (i) dan (ii) diperoleh a. Proyeksi ortogonal skalar vektor pada vektor lainnya: B.a a.b • ob′= │a │.│a │ = │a │2 a. Rumus yang digunakan mencari vektor proyeksi,. Soal ini berupa soal hitungan yang mengambil sub topik panjang proyeksi/proyeksi skalar dan proyeksi ortogonal dari sebuah vektor pada vektor lain. 4.2 menyelesaikan masalah yang berkaitan dengan vektor, operasi vektor, panjang vektor, sudut . Proyeksi ortogonal vektor a pada vektor b, yang terbagi menjadi 2: Untuk lebih jelasnya perhatikan contoh soal dan pembahasan proyeksi skalar ortogonal berikut. Dalam kata lainnya, objek proyeksi adalah panjang vektor. Hasil proyeksi vektor ortonal memiliki arah dan nilai, sedangkan untuk hasil skalar ortogonal hanya memiliki nilai saja. 3.2.9 menjelaskan sendiri rumus proyeksi skalar dua buah vektor. Pada kali ini kita akan membahas tentang materi vektor yang meliputi pengertian,jenis,proyeksi,contoh soal dan pembahasannya lengkap.

Rumus Proyeksi Vektor / Menentukan Proyeksi Ortogonal Dan Proyeksi Skalar Youtube - 3.2.9 menjelaskan sendiri rumus proyeksi skalar dua buah vektor.. Rumus yang digunakan mencari vektor proyeksi,. Untuk lebih jelasnya perhatikan contoh soal dan pembahasan proyeksi skalar ortogonal berikut. A • proyeksi vektor ortogonal b pada a = │a │ e.(ii) • dari (i) dan (ii) diperoleh a. Dalam kata lainnya, objek proyeksi adalah panjang vektor. Rumus untuk menghitung panjang proyeksi skalar vektor ortogonal adalah sebagai berikut.

Posting Komentar untuk "Rumus Proyeksi Vektor / Menentukan Proyeksi Ortogonal Dan Proyeksi Skalar Youtube - 3.2.9 menjelaskan sendiri rumus proyeksi skalar dua buah vektor."